
jiangsu PiYa Industrial Co., Ltd.
- Tel: 86-0519-88902571
- Mobile: 13813671568
- Fax: 86-0519-88905988
- QQ: 8253859
- E-mail: 8253559@qq.com
- Postal code: 213116

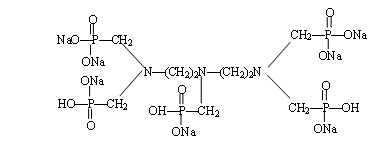
Hepta sodium salt of Diethylene Triamine Penta (Methylene Phosphonic Acid)
CAS No. 22042-96-2 (x-Na) 68155-78-2 (7-Na) Dequest: 2066
Molecular Formula: C9H23O15N3P5Na7 Molecular weight: 727
Structural Formula:

Properties and usage:
DTPMP·Na7 is a scale inhibitor, for barium sulphate in particular and a chelating agent.DTPMP·Na7 can be used as stabilizer for peroxide bleaching, detergent auxiliaries, in industrial & municipal cleaning water, terrestrial heat water, oilfield water, etc.
Specification:
| Index | Index | |
| Appearance | Umber transparent liquid | |
| Active content (DTPMPA)% | 31.5-33.5 | 24.0-26.0 |
| Active content (DTPMPANa7)% | 40.0-42.5 | 30.5-33.0 |
| Total phosphoric acid(PO43-)% | 25.9-27.9 | 19.7-21.7 |
| Chloride (Cl-) % | 5.0max | 5.0max |
| Fe ppm | 20max | 20max |
| PH(1% water solution) | 7.0-9.0 | 7.0-9.0 |
| PH(origin solution) | 6.0-8.0 | 6.0-8.0 |
| Density (20℃) g/cm3 | 1.34-1.44 | 1.24-1.34 |
Package and Storage:
Normally In 250kg net Plastic Drum, IBC drum can also be used as required. Storage for ten months in room shady and dry place.
Safety Protection:
Avoid contact with eye and skin, once contacted, flush with water.

